返回

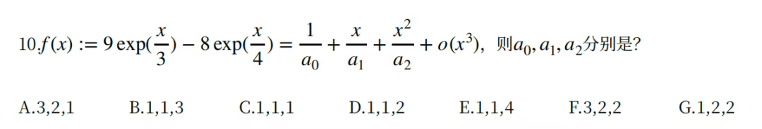
不定项数单选题

这是你习以为常的东西——如果你熟悉数学的话。